![]() |
![]() |
![]() |
![]() |
![]() |
![]() |
Py_Initialize();
auto modulePath = "/home/miraba2/.totalview/lib_cache/cascadeb002/codes/sutekina/"; // /* hardcoded search path for module */
PyObject* sysPath = PySys_GetObject("path");
assert(PyArray_API);
cout << "2a\n"; PyObject* nekMod = PyImport_ImportModule("d");
PyObject* arg = Py_BuildValue("(i)", snapshot); // this created tuple is used for the function ff, which takes an arg (time).
PyObject* nekFf = PyObject_GetAttrString(nekMod, "ff");
PyObject* resultFf = PyObject_CallObject(nekFf, arg);
cout<<"*mm1:\n";PyArrayObject* arrZ = reinterpret_cast<PyArrayObject*>(resultFf);
int ndim = arrZ->nd;
npy_intp* shape = arrZ->dimensions;
npy_intp* shape2 = PyArray_DIMS(arrZ); // same thing as shape; both return correct vals.
std::cout << "Dimensions: "; // print out dimension with for-loop
for (int i = 0; i < ndim; i++) {std::cout << shape[i] << " "; std::cout << shape2[i] << " ";}
const int ncs=150;
const int nPts=58032;
struct varStr fullVars;
fullVars.U = new double*[ncs];
fullVars.V = new double*[ncs];
fullVars.W = new double*[ncs];
fullVars.P = new double*[ncs];
for (int i = 0; i < ncs; i++) { // i =cs
fullVars.U[i] = new double[nPts];
fullVars.V[i] = new double[nPts];
fullVars.W[i] = new double[nPts];
fullVars.P[i] = new double[nPts];
}
! read c++-structures into array
! for function 'interpolate-pipe'
type(varStr) :: fullVars
type(c_ptr), pointer :: U_ptr, V_ptr, W_ptr, P_ptr
real(c_double), pointer :: U(:,:), V(:,:), W(:,:), P(:,:)
integer :: start_time(8), end_time(8), elapsed_time, wait_time
call c_f_pointer(fullVars%U, U_ptr) ! nb all 8 calls are req'd vvvvvvvvvvvv
call c_f_pointer(fullVars%V, V_ptr)
call c_f_pointer(fullVars%W, W_ptr)
call c_f_pointer(fullVars%P, P_ptr)
call c_f_pointer(U_ptr, U, [nPts,ncs])
call c_f_pointer(V_ptr, V, [nPts,ncs])
call c_f_pointer(W_ptr, W, [nPts,ncs])
call c_f_pointer(P_ptr, P, [nPts,ncs]) ! nb all 8 calls are req'd ^^^^^^^^^
![]() |
![]() |
![]() |
![]() |
![]() |
![]() |
Accomplishments

where \(\mathcal{R}_k^T \equiv R_{k-1}^T \cdots R_2^T R_1^T\).

where
Yes. The pipe is set up (for the most part, I think we might have borrowed a data acquisition system or something from it, but nothing too difficult to rebuild). Alyn was able to take friction factor data up to Reynolds number of 200,000 (Re=UD/nu). So we have that data already available. As for taking new data: Currently we only have the ability to measure pressure drop across the fixed and rotating sections. That’s what Alyn did already and I don’t have any students who would know how to quickly take new pressure drop data PIV data was always the plan, but doing so is a significant effort, since there are technical challenges which need to be addressed with just getting the data (essentially it would be a full thesis just to take data)
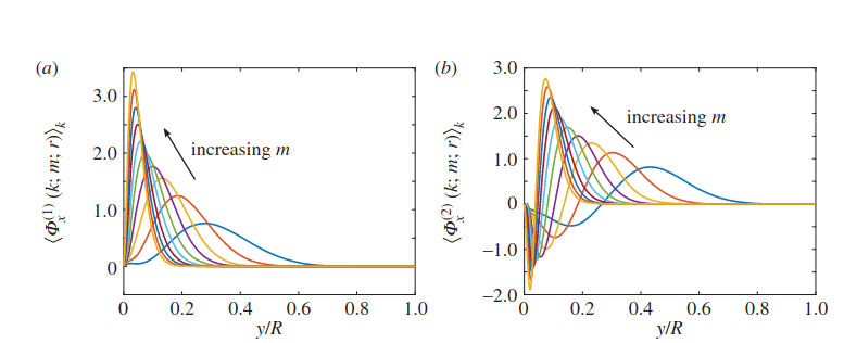
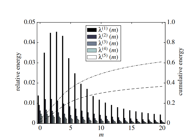
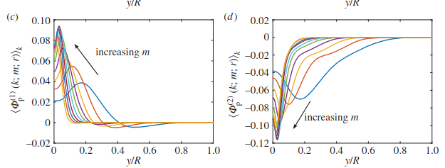
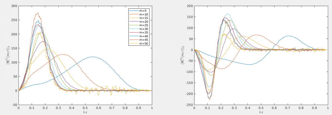
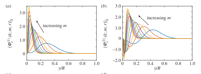
the geometric pattern out to be evident in each cs, see eg
podMode1mMode2.dat podMode1mMode9.dat podMode2mMode8.dat podMode3mMode7.dat podMode4mMode6.dat podMode5mMode5.dat podMode6mMode4.dat
podMode1mMode3.dat podMode2mMode2.dat podMode2mMode9.dat podMode3mMode8.dat podMode4mMode7.dat podMode5mMode6.dat podMode6mMode5.dat
podMode1mMode4.dat podMode2mMode3.dat podMode3mMode2.dat podMode3mMode9.dat podMode4mMode8.dat podMode5mMode7.dat podMode6mMode6.dat
podMode1mMode5.dat podMode2mMode4.dat podMode3mMode3.dat podMode4mMode2.dat podMode4mMode9.dat podMode5mMode8.dat
podMode1mMode6.dat podMode2mMode5.dat podMode3mMode4.dat podMode4mMode3.dat podMode5mMode2.dat podMode5mMode9.dat
podMode1mMode7.dat podMode2mMode6.dat podMode3mMode5.dat podMode4mMode4.dat podMode5mMode3.dat podMode6mMode2.dat
podMode1mMode8.dat podMode2mMode7.dat podMode3mMode6.dat podMode4mMode5.dat podMode5mMode4.dat podMode6mMode3.dat
% define a reference vector <- alpha_0
% take dp zw refVec and akktVek <- alpha
% if < 0, flip akktVec
vgl 12kRe, see,
shows same as eg, my 11k energy:
for smaller \(k\), small.
\(s\) arc length \(s=r\theta\)
\(k\) is wavenumber, \(y_p^+\) peak location,
two blobs depending on the cond number \(\eta\)
Pareto distributions.
\(\rightsquigarrow\) which have a wide range of scales & broad range of velocity fluctuations

N=0
For 99 CS,
| Step | Time [m] | Notes |
|---|---|---|
| Extract | 3 hours | be careful with memory |
| Interpolation | 40 min | dtn |
| double FFT | 17 min | cascade 1 node / 48 cores |
| PODa -> eigs | 23 min | |
| PODb -> flip | 10 min |
N=0 Energy
N=0.5 Energy
N=3 Energy
% gg
% we define the numerator, integrated over all k;
for e=1:eSize
for m=rMin:rMax
cSpre = zeros(ncs,1);
for c=1:ncs %
cSpre(c) = real(lam(c).m(m).dat(e,1));
end % c
cS(e).m(m).dat=dk*sum(cSpre(:)); % sum k. this eliminates c from struct.
end % e
end % m
dk =0.001;
% we define the numerator, integrated over all k;
for e=1:eSize
for m=rMin:rMax
cSpre = zeros(ncs,1);
for c=1:ncs %
cSpre(c) = real(lam(c).m(m).dat(e,1));
end % c
cS(e).m(m).dat=dk*sum(cSpre(:)); % sum k. this eliminates c from struct.
end % e
end % m
% we define the denominator.
sumTot = 0;
for ee=1:eSize % eigs.
eVec = zeros(18,1); % 18 eigs.
for mm=rMin:rMax
eVec(mm) = real(cS(ee).m(mm).dat);
end % mm
zz=sum(eVec(:)) % sum m
sumTot = sumTot + zz; % sum n.
end % eig (n)
zz=real(sumTot); % try this
cuR=cuSumm(cS); % maybe sum n.
Replicate hellstrom2018 with DNS data