1/06/22 Updates

Swirl Numbers N=0.5,1,3

Michael Raba, Msc Candidate

Path

screenshot2023-04-15_10-53-28_.png screenshot2023-04-15_10-53-48_.png screenshot2023-04-15_10-54-02_.png
screenshot2023-04-15_10-54-15_.png screenshot2023-04-15_10-54-25_.png zz.gif
  • + *Need data*
    • + *full vars* for *larger Re*
  • + *Need informed guidance*
  • + *Done 1:* Streamlined extract+interpolate
    • - Avoids intermediate write to file
    • - Write to hdf5
  • + *Done 2:* Super good convergence, all data.
  • + *Done 3:* Start thesis

Code For Extraction to Interpolate

  • Goal: Grab data from Nek python memory, instead of unnecessary file copy.
    Py_Initialize();
    auto modulePath = "/home/miraba2/.totalview/lib_cache/cascadeb002/codes/sutekina/"; // /* hardcoded search path for module */
    PyObject* sysPath = PySys_GetObject("path");
    assert(PyArray_API);
    cout << "2a\n";  PyObject* nekMod = PyImport_ImportModule("d");
    PyObject* arg = Py_BuildValue("(i)", snapshot); // this created tuple is used for the function ff, which takes an arg (time).
    PyObject* nekFf = PyObject_GetAttrString(nekMod, "ff");
    PyObject* resultFf = PyObject_CallObject(nekFf, arg);
    cout<<"*mm1:\n";PyArrayObject* arrZ = reinterpret_cast<PyArrayObject*>(resultFf);
    int ndim = arrZ->nd;
    npy_intp* shape = arrZ->dimensions;
    npy_intp* shape2 = PyArray_DIMS(arrZ); // same thing as shape; both return correct vals.
    std::cout << "Dimensions: "; // print out dimension with for-loop
    for (int i = 0; i < ndim; i++) {std::cout << shape[i] << " "; std::cout << shape2[i] << " ";}
    const int ncs=150;
    const int nPts=58032;
    struct varStr fullVars;
    fullVars.U = new double*[ncs];
    fullVars.V = new double*[ncs];
    fullVars.W = new double*[ncs];
    fullVars.P = new double*[ncs];
    for (int i = 0; i < ncs; i++) { // i =cs
    fullVars.U[i] = new double[nPts];
    fullVars.V[i] = new double[nPts];
    fullVars.W[i] = new double[nPts];
    fullVars.P[i] = new double[nPts];
}

Fortran Side Code

  • Step2: Struct-of-structs (derivated types)
    • Pointers are great here instead of making hard copies
    • Copy to array for Interpolation
     ! read c++-structures into array
     ! for function 'interpolate-pipe'
     type(varStr) :: fullVars
     type(c_ptr), pointer :: U_ptr, V_ptr, W_ptr, P_ptr
     real(c_double), pointer :: U(:,:), V(:,:), W(:,:), P(:,:)
     integer :: start_time(8), end_time(8), elapsed_time, wait_time
     call c_f_pointer(fullVars%U, U_ptr) ! nb all 8 calls are req'd vvvvvvvvvvvv
     call c_f_pointer(fullVars%V, V_ptr)
     call c_f_pointer(fullVars%W, W_ptr)
     call c_f_pointer(fullVars%P, P_ptr)
     call c_f_pointer(U_ptr, U, [nPts,ncs])
     call c_f_pointer(V_ptr, V, [nPts,ncs])
     call c_f_pointer(W_ptr, W, [nPts,ncs])
     call c_f_pointer(P_ptr, P, [nPts,ncs]) ! nb all 8 calls are req'd ^^^^^^^^^

Converged Data

screenshot2023-04-15_10-53-28_.png screenshot2023-04-15_10-53-48_.png screenshot2023-04-15_10-54-02_.png
screenshot2023-04-15_10-54-15_.png screenshot2023-04-15_10-54-25_.png zz.gif

11700, N=3, W var, POD mode 1, \(m=4\)

screenshot2023-04-15_10-45-50_.png

More Converged

  • 11700, N=3, W var, POD mode 1, \(m=9\)

screenshot2023-04-15_10-47-35_.png

More Converged

  • 11700, N=3, W var, POD mode 1

screenshot2023-04-15_10-48-49_.png

Variable \(V\) (\(=u_\theta\))

screenshot2023-04-15_10-50-20_.png

  • Idea: \(U,V,W\) are ’competing’ to shape the flow field

Blank Page

Accomplishment

  • Accomplishments
    • good statistics graphs for \(N>0\)
    • thesis outline, just fill in
  • Challenges
    • work faster and thesis

N=0

  • Accomplishments

    • good statistics graphs for \(N>0\)

    z0.png

N=1

  • New flipping is done in way such that we do not need to know in advance what the graph looks like z1.png

N=3

z3.png

POD Projections graphs

  • graphs show \(alpha\) on \(u\) projection

N=3

N3m8.jpg

N=3

N3m8.jpg

N=3

N3m10.jpg

N=3

N3m2.jpg

N=3

N3m3.jpg

N=3

N3m6.jpg

N=3

N3m6.jpg

N=3

N3m4.jpg

Systematic Flipping

  • can be used to get better projection etc.
    • Steps: sorting of the eigenvalues in descending order,
      • calculation of the reflection entries
      • construction of the rotation matrices.

Systematic Flipping

  • \(s_k=\operatorname{sign}\left(\left(\mathcal{R}_k^T v_k\right)^T \pi_k\right)\)

where \(\mathcal{R}_k^T \equiv R_{k-1}^T \cdots R_2^T R_1^T\).

Systematic Flipping Cont.

  • Rotation acts s.t.
  • \(R_1^T\left(V_{(n)} S_1\right)=\left(\begin{array}{ll}1 & \\ & \\ & V_{(n-1)}\end{array}\right)\)
  • Next rotation acts s.t. \(R_2^T\left(R_1^T V_{(n)} S_1 S_2\right)=\left(\begin{array}{lll}1 & & \\ & 1 & \\ & & V_{(n-2)}\end{array}\right)\)

Then rotate

  • Using Givens rotations, \(\left(\begin{array}{c}c_2 c_3 c_4 \\ s_2 c_3 c_4 \\ s_3 c_4 \\ s_4\end{array}\right)=\left(\begin{array}{l}a_1 \\ a_2 \\ a_3 \\ a_4\end{array}\right)\)
  • For each subspace \(k\) there are \(k-1\) angles to deal with
  • Organize Givens angles into upper irght triangle matrix, eg. \(\boldsymbol{\theta} \longleftarrow\left(\begin{array}{ccc}0 \theta_{1,2} & \theta_{1,3} & \theta_{1,4} \\ 0 & \theta_{2,3} & \theta_{2,4} \\ & 0 & \theta_{3,4} \\ & & 0\end{array}\right)\).

To do

  • Thesis literature review
  • Conclusion - what pod \(N>0\) says about:
    • Relaminarization
    • Distribution of mode energies

Target: Masters Thesis

  • Acceptible to have around 50 pages
  • Goal: internal document but use as generator for paper, PhD position at top 15 program
  • Goal of PhD: develop cfd skills to work in aerospace industry

Statistics Accomplished

  • Radial POD plots
  • Energy
  • Surface plots

Statistics Accomplished

  • Radial POD plots screenshot2023-01-05_13-26-09_.png
  • Energy
  • Surface plots

Statistics Accomplished

  • Radial POD plots

screenshot2023-01-05_13-26-09_.png

screenshot2023-01-06_11-43-02_.png

screenshot2023-01-06_11-48-02_.png

Statistics Accomplished

  • Radial POD plots
  • Energy 11kN0EgyV2.svg
  • Surface plots

Statistics Accomplished

11kN0EgyV2.svg

  • verification:

screenshot2023-02-07_16-20-48_.png

Statistics Accomplished

  • Surface plots \(n=1, m=4, 5 300\)

screenshot2023-02-07_15-55-40_.png

Statistics Accomplished

  • reconstruct of \(n=1, m=4\), 5 300,

n1m5Wow.gif

Challenges

  • Working essentially independantly
  • Need larger Re data
  • Unanswerable statistical question

Challenges

  • Working essentially independantly
  • Want to accelerate progress with experience-based advice in target area
  • Reoccuring Challenge: More statistical way to ’flip’?
    • arbitrary flipping based on eig’s \(\pm\) sign - bad !

Challenges

  • Working essentially independantly
    • Reoccuring Challenge: More statistical way to ’flip’?
      • arbitrary flipping based on eig’s \(\pm\) sign - bad !

Challenges

  1. Need data
    • Maybe have connection to other workers in the field with data?
    • (Xiaohau Wu’s possibly) \(\rightsquigarrow\) would help further validate results
    • do not have large Re rotating data ( only 5,300, 11,700).
    • would like to somehow generate large Re data where the \(m=3\) mode dominates
  2. Reoccuring Challenge: More statistical way to ’flip’?
    • arbitrary flipping based on eig’s \(\pm\) sign - bad !

Challenges

  1. Reoccuring Challenge: More statistical way to ’flip’?
    • arbitrary flipping based on eig’s \(\pm\) sign - bad !

Challenges (averaging)

  • pod mode reconstruct \(\pm\) sign in \(\alpha\) term
    • this term is averaged!
\begin{align} \Psi_{(m, n)}(x, r, \theta)=\left\langle u_i(x, r, \theta, t) \frac{\operatorname{Re}\left\{\alpha_n(m ; t)\right\}}{\left|\operatorname{Re}\left\{\alpha_n(m ; t)\right\}\right|}|| \operatorname{Re}\left\{\alpha_n(m ; t)\right\} \mid>\alpha_n^{r m s}(m)\right\rangle \end{align}

Challenges (averaging)

  • pod \(r\) -curve
\begin{align} \lim _{\tau \rightarrow \infty} \frac{1}{\tau} \int_0^\tau \mathbf{u}_{\mathrm{T}}(k ; m ; r, t) \alpha^{(n)^*}(k ; m ; t) \mathrm{d} t=\Phi_{\mathrm{T}}^{(n)}(k ; m ; r) \lambda^{(n)}(k ; m) \end{align}

where

\begin{align} \lim _{\tau \rightarrow \infty} \frac{1}{\tau} \int_0^\tau \mathbf{R}\left(k ; m ; t, t^{\prime}\right) \alpha^{(n)}\left(k ; m ; t^{\prime}\right) \mathrm{d} t^{\prime}=\lambda^{(n)}(k ; m) \alpha^{(n)}(k ; m ; t) \end{align}

Beyond this

  • Nail down connection between dynamics and different plots
  • More plots
  • Thesis should demonstrate mastery of existing techniques as well as extend

whoa

  • \(n=1, m=4, 5 300\)

screenshot2023-02-07_15-55-40_.png

n1m4

  • reconstruct of \(n=1, m=4\), 5 300,

n1m5Wow.gif

todo

  • email
  • Equations Pod (below)
  • energy Re12,700

email

Yes. The pipe is set up (for the most part, I think we might have borrowed a data acquisition system or something from it, but nothing too difficult to rebuild). Alyn was able to take friction factor data up to Reynolds number of 200,000 (Re=UD/nu). So we have that data already available. As for taking new data: Currently we only have the ability to measure pressure drop across the fixed and rotating sections. That’s what Alyn did already and I don’t have any students who would know how to quickly take new pressure drop data PIV data was always the plan, but doing so is a significant effort, since there are technical challenges which need to be addressed with just getting the data (essentially it would be a full thesis just to take data)

pod reconstruction

  • average only the ’correct’ snapshots (satisfying a condition)
  • Condition is given by,
\begin{align} \Psi_{(m, n)}(x, r, \theta)=\left\langle u_i(x, r, \theta, t) \frac{\operatorname{Re}\left\{\alpha_n(m ; t)\right\}}{\left|\operatorname{Re}\left\{\alpha_n(m ; t)\right\}\right|}|| \operatorname{Re}\left\{\alpha_n(m ; t)\right\} \mid>\alpha_n^{r m s}(m)\right\rangle \end{align}
  • Figure shows effect of condition

screenshot2023-02-07_13-28-53_.png

Reconstruction

  • Essentially this is projection of \(u\) onto POD
  • Can be geometrically regular, but not nec so, eg see

screenshot2023-02-07_13-50-44_.png

  • the geometric pattern out to be evident in each cs, see eg

    screenshot2023-02-07_13-55-03_.png

  • careful choice of levels and their max influence shape

Reconstruction

  • Questions: not sure what to do with Im part.
  • Ran cases (2/6):
podMode1mMode2.dat  podMode1mMode9.dat  podMode2mMode8.dat  podMode3mMode7.dat  podMode4mMode6.dat  podMode5mMode5.dat  podMode6mMode4.dat
podMode1mMode3.dat  podMode2mMode2.dat  podMode2mMode9.dat  podMode3mMode8.dat  podMode4mMode7.dat  podMode5mMode6.dat  podMode6mMode5.dat
podMode1mMode4.dat  podMode2mMode3.dat  podMode3mMode2.dat  podMode3mMode9.dat  podMode4mMode8.dat  podMode5mMode7.dat  podMode6mMode6.dat
podMode1mMode5.dat  podMode2mMode4.dat  podMode3mMode3.dat  podMode4mMode2.dat  podMode4mMode9.dat  podMode5mMode8.dat
podMode1mMode6.dat  podMode2mMode5.dat  podMode3mMode4.dat  podMode4mMode3.dat  podMode5mMode2.dat  podMode5mMode9.dat
podMode1mMode7.dat  podMode2mMode6.dat  podMode3mMode5.dat  podMode4mMode4.dat  podMode5mMode3.dat  podMode6mMode2.dat
podMode1mMode8.dat  podMode2mMode7.dat  podMode3mMode6.dat  podMode4mMode5.dat  podMode5mMode4.dat  podMode6mMode3.dat

Error in reconstruct: flipping

  • since again nothing is uniquely det, but instead det up to \(\pm\) of normalized eigVec, follow procedure,
% define a reference vector <- alpha_0

% take dp zw refVec and akktVek <- alpha

% if < 0, flip akktVec

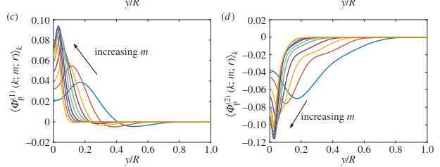
Energy

  • vgl 12kRe, see,

    screenshot2023-02-07_16-20-48_.png

Gets

  • Get \(Re_\tau\) -> openFoam or Star?

Older Pres

Reconstruction

screenshot2023-02-03_14-13-18_.png

  • Note for \(m=9\) modes, there are 18 extrema (9 peaks and 9 troughs)

POD Reconstruction

  • \(m=10\)

recon.gif

  • \(m=10 \rightarrow\) 10 peaks/10 troughs
  • error in signal processing analysis: amplitudes ought to be same for each peak/trough.

Reconstructed View of \(m=9\)

  • but 1 crosssection only in this animation.
  • 9 peaks, 9 vallies

m9n1n0_nor.gif

Another Energy Comparsion

screenshot2023-02-04_16-12-13_.png

  • shows same as eg, my 11k energy:

    • for higher \(k\), there was a `blowup’ in the mode;

    for smaller \(k\), small.

    • monotonically decreasing for increasing \(m,n\) pairs.

Abb.

  • Rell.7k

ani2.gif

Interesting Data

  • Carpet plot
    • \(s\) arc length \(s=r\theta\)

      screenshot2023-02-04_16-17-01_.png

Modal Peak Locations

  • \(k\) is wavenumber, \(y_p^+\) peak location,

    screenshot2023-02-04_16-17-55_.png

Iso-surfaces

  • two blobs depending on the cond number \(\eta\)

    screenshot2023-02-04_16-18-57_.png

Programming Experience

11k Energy Streamwise

11kN0EgyV2.svg

  • this is a Pareto distribution!

Distribution Shape

Pareto distributions.

  • 80/20
    • we have 60/20 in the previous 11k graph
    • \(\because\) POD modes \(\geq\) 5 were not included. Then 80% would be reached.
  • heavy-tailed distributions, means that they have a long tail of high-magnitude events.

\(\rightsquigarrow\) which have a wide range of scales & broad range of velocity fluctuations

Azimuthal Modes

  • \(m=3\) (wavy) most energetic mode in turbulent pipe flow \(\rightsquigarrow\) most unstable mode \(\rightsquigarrow\) arises from centrifugal force \(\rightsquigarrow\) causes fl to oscillate between the center and the wall \(\rightsquigarrow\) leads to formation of large, regular waves (high velocities and high kinetic energy)

Azimuthal Modes

  • \(m=1\) basic “plug” flow, \(\rightsquigarrow\) fl moves uniformly in the center of the pipe.
  • \(m=2\) “pinching” flow, fl is pushed to the center and pulled to the wall, creating a pattern of high and low velocities.

Attempts to get 5300 to have \(m=3\) to have the largest peak

screenshot2023-01-18_20-00-03_.png

  • Taking out \(r-\) weight from correlation matrix and changing (bad) energy code

5300 is transitional flow

  • Re=2300 is transitional pipe flow
    • Re=5300 is still transitional.
    • Re=11k is definitely turbulent.
    • Re=21k (Smits, really turbulent).
    • Mozzerella paper is Re100k.
  • Azimuthal \(m=3\) peak is more prominent and likely to occur the higher the Re.
    • work with at least Re11k.

Directions

  • Start writing thesis
  • Generate more data
  • Analysis for Rotating Pipes

Directions

  • Start writing thesis
    • part 1: nek5000 runs. Necessary to do set up and run. This will consitute a part of my thesis and is a core CFD skill.
    • Generate more data: long pipe
  • Analysis for Rotating Pipes
    • lambda-2 analysis,
    • movies of mode reconstruction
  • Sufficient time to tie everything together (write core thesis within 1 month ).

Korrektur

  • Better POD’s screenshot2023-01-05_13-26-09_.png

Comparison

screenshot2023-01-05_13-26-09_.png

screenshot2023-01-06_11-43-02_.png

screenshot2023-01-06_11-48-02_.png

Pressure

N=0

n0PODpressure.svg

Pressure Smits

screenshot2023-01-06_12-31-12_.png

Conditional Mode (Reconstruction)

  • \(\Psi^{(n)}(m ; \xi, r):= \\ \lim _{\chi \rightarrow \infty} \frac{1}{\chi} \int_0^\chi \lim _{\tau \rightarrow \infty} \frac{1}{\tau} \int_0^\tau \mathbf{u}_{\mathrm{T}}(m ; r, x+\xi, t) \alpha^{(n)}(m ; x, t) \mathrm{d} t \mathrm{~d} x\)
  • use eg matlab meshgrid+function `isosurface`
    • \(s\) is scaled \(r\) ; \(\xi\) is condition.

IsoSurface (Smits 2017)

screenshot2023-01-06_12-50-24_.png

Timings

For 99 CS,

Step Time [m] Notes
Extract 3 hours be careful with memory
Interpolation 40 min dtn
double FFT 17 min cascade 1 node / 48 cores
PODa -> eigs 23 min  
PODb -> flip 10 min  

Energy Comparison

N=0 Energy

n0ScaledEgy.svg N=0.5 Energy

n0d5ScaledEgy.svg

N=3 Energy

n3ScaledEgy.svg

  • from corrMatrix + eig \(\rightsquigarrow\) cf low Re studies

N=0.0 Energy

n0ScaledEgy.svg

N=0.5 Energy

n0d5ScaledEgy.svg

N=3 Energy

n3ScaledEgy.svg

Energy Defintions

  • Relative azimuthal energy distribution \(\xi^{n} (m)\) defined as
\begin{align} \xi^{(n)}(m) \equiv \frac{\sum_f \lambda^{(n)}(f, m)}{\sum_n \sum_m \sum_f \lambda^{(n)}(f, m)} . \end{align}

Relative Energy Numerator

% gg
% we define the numerator, integrated over all k;
for e=1:eSize
for m=rMin:rMax
cSpre = zeros(ncs,1);
for c=1:ncs %
cSpre(c) = real(lam(c).m(m).dat(e,1));
end % c
cS(e).m(m).dat=dk*sum(cSpre(:)); % sum k. this eliminates c from struct.
end % e
end % m

Relative Energy Denominator

dk =0.001;
% we define the numerator, integrated over all k;
for e=1:eSize
for m=rMin:rMax
cSpre = zeros(ncs,1);
for c=1:ncs %
cSpre(c) = real(lam(c).m(m).dat(e,1));
end % c
cS(e).m(m).dat=dk*sum(cSpre(:)); % sum k. this eliminates c from struct.
end % e
end % m

% we define the denominator.
sumTot = 0;
for ee=1:eSize % eigs.
eVec = zeros(18,1);  % 18 eigs.
for mm=rMin:rMax
eVec(mm) = real(cS(ee).m(mm).dat);
end % mm
zz=sum(eVec(:)) % sum m
sumTot = sumTot + zz; % sum n.
end % eig (n)
zz=real(sumTot); % try this
cuR=cuSumm(cS); % maybe sum n.

Energy From Other Papers

  • Hellstrom 19k

screenshot2023-01-04_20-00-49_.png

Smits 2009 Developing 3k flow

screenshot2023-01-04_19-34-17_.png

  • note descending mode behavior

Colonius & Freund

screenshot2023-01-04_19-35-01_.png

Page Intentionally Left Blank

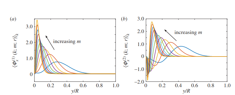
Goal

Replicate hellstrom2018 with DNS data

k-averaged POD Modes

screenshot2022-12-16_12-34-35_.png

Zero Swirl POD

screenshot2022-12-16_12-36-26_.png

Differences

  • Hellstrom’s data is higher resolved streamwise
    • we are using 99 streamwise crosssections, vs hellstrom’s 2048.
    • moving average? Or Hann window

k-average for No Swirl

  • Hellstrom constructs POD modes, and averages \(\Phi_x^{(n)}\) modes in \(k\) direction, because he recognized they are invarient streamwise.
    • just look at each POD mode, unique up to \(\pm\) sign, and flip as needed.

k-invarient

screenshot2022-12-16_12-29-53_.png

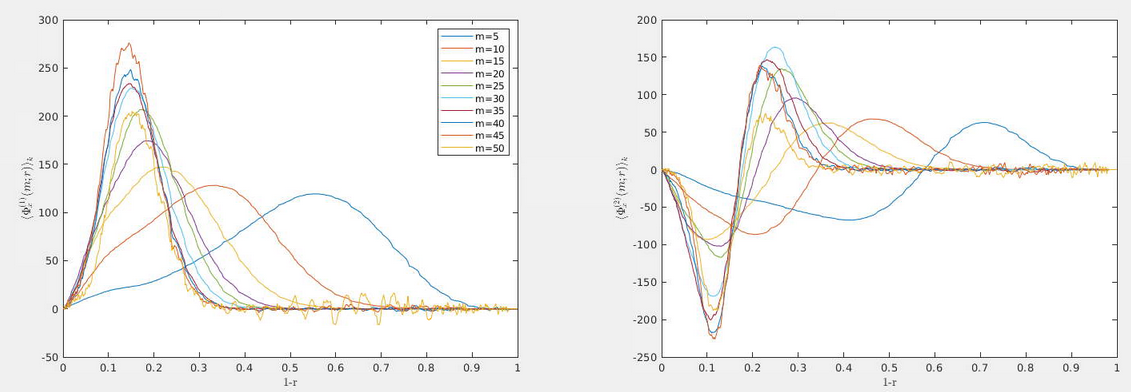
Apply to Swirl?

  • Not clear if we can do average for Swirl flows; \(\phi_k^{(2)}\) looks quite different

N=3

  • shows \(m=5,10,15,20,\ldots, 50\) for \(k=1,2,\ldots, K\)

n3.gif

Qualitative different

  • the modes \(m\) look different for each \(k\).
    • Sometimes they have 3 peaks, sometimes 2.

screenshot2022-12-16_12-50-23_.png

screenshot2022-12-16_12-50-47_.png

\(N=1\) Swirl

  • A naive averaging in \(k\), where it is clear averaging cant be done

screenshot2022-12-16_13-35-21_.png

\(N=0.5\)

screenshot2022-12-16_13-33-50_.png

\(N=3\)

n3.png

Larger goal:

  • describe how the flow’s POD modes evolves down stream.
  • Achieve relaminarization
  • identity LSM + VSLM,
    • which may be not be k-invarient.
  • demonstrate Townsend’s attached Eddy Hypothesis and find coherent Structures

Different direction

  • use other forms of analysis for Swirl cases
    • do not slavishly imitate 1 form of analysis.
  • compare to data from hot wire probe

Papers

screenshot2022-12-16_13-12-19_.png

screenshot2022-12-16_13-17-35_.png

Papers

screenshot2022-12-16_13-15-14_.png

screenshot2022-12-16_13-15-59_.png

Shows

  • precessing vortex core
  • vortex breakdown

screenshot2022-12-16_13-26-07_.png